3 动态摩擦力负载
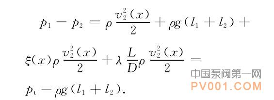
阀板、阀座摩擦力主要由阀板前后压差决定,阀板上游压力可简化为阀门额定工作压力Pt,分析水下闸阀生产工况可知:影响阀板下游压力的因素主要有阀门工作水深和局部压力损失.因此,阀板下游压力可表示为
联合式(3),(4)和(6)可得
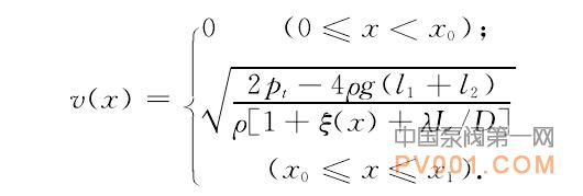
因此,管道内平均流速
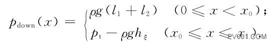
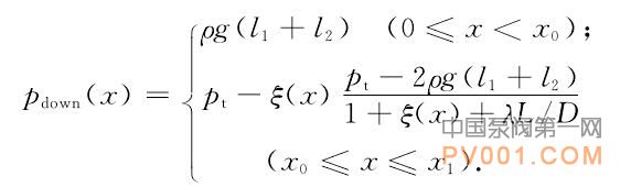
水下闸阀阀板下游压力为
对比分析图2和图5可知:当阀门开启时,修正后的水下闸阀阀板下游压力有一个平滑过渡区域,并不是如图2所示的阶跃变化,体现了介质流动的连续性,更符合物理实际,且当阀门开度大于25%时,上、下游压力曲线基本重合;另一方面,当阀门处于关闭状态时,阀门下游存在一个由于阀门工作水深引起的静压水头.因此当设计计算弹簧回复力时,须要额外考虑该压力水头.

(来源:中国泵阀第一网)
上一篇:双支撑旋涡泵设计探究
下一篇:探析炼化企业机泵预防性维修策略
