单流道泵的设计
1、单流道泵的特点及用途
单流道叶轮又称无叶片叶轮,从叶轮进口到叶轮出口是一个弯曲的流道,适合于输送大颗粒或含纤维的物质。它的无堵塞和抗缠绕性能在几种无堵塞叶轮中最佳,泵的效率较高,功率曲线平坦。可用于轻工、食品、造纸、纺织、印染、化工流程、市政污水处理、河塘清淤等领域。
由于单流道结构不是对称的,加之在运行中脉冲出流,径向力很大,因而要求对叶轮进行精密平衡(动平衡试验),否则易产生振动,降低泵的可靠性。
2、单流道泵的水力设计
(1)叶轮主要尺寸
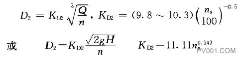
单流道叶轮和一般离心泵叶轮相同,有三个基本尺寸:叶轮进口直径Dj、叶轮出口直径D2、叶轮出口宽度b2,图11-11是叶轮轴面图.
图11一11 单流道叶轮主要尺寸
这三个主要尺寸的确足方法如下:
①叶轮进口直径Dj
②叶轮外径D2
由于杂质泵的叶轮出口宽度大,外径按一般清水泵计算或稍许增大即可。
③叶轮出口宽度b2
当叶轮流道出口大致为圆形时,取b2= (0.75~0.85) Dj当出口不是圆形时,b2可取较小值,但是出口面积应大致为叶轮进口面积的0. 8倍左右。或按下式计算:
(2)叶轮绘型
根据单流道叶轮壁厚的厚薄,可以将其分为厚壁型叶轮和薄壁型叶轮。
①厚壁型叶轮
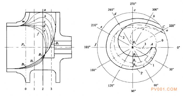
厚壁型叶轮流道厚度较厚,因而重量比较重,泵的效率较高,这种形式叶轮绘型方法如下(图11一12)
1)叶轮轴面图除流道弯曲曲率半径稍大些外,和一般离心泵基本相同。
2)在轴面图上作木模截面0, 1, 2,其中2是过叶轮出口中心线的平面。
图11一12 厚壁单流道叶轮轴面和平面图
3)在平面图上画一定问隔角的射线,并编号:0°、30°、60°、90°...
1)在平面图上画木模截面2与流道背而(凹面)的交线。截面线2的画法:
a)起始点A到中心的距离大致等于0.5Dj
b) B2点到中心的距离与轴面图B到轴线距离相等;
c)包角ψ=300°~360°,图中取300°;
d)β2=20°一30°,图中取25°画出型线AB2C后,过C点作射线并记为a
5)参照木模截线2的画法,画出木模截线0、1, 3。流道出口 AC之间大致为一圆形〔也可为椭圆形或长方形)。木模截线0在平面图上的最大径向位置大致在AC:之间,半径应等于轴面上pom
6)按木模截线0、1, 2, 3和各射线的交点,作出轴面截线a, b,c、…。各轴面截线应光滑并有规律变化。如果轴面截线形状不良,应进行修改,然后根据修改后的轴面截线,修改平面图木模截线,这样反复修改直到满意为止。
7)画外壁木模截线,如果外壁为圆柱而,可只画一条线如木模线2,否则应分别画出各木模截线。外壁与前后盖板相交处应大圆角过渡。
②薄壁型叶轮
薄壁型叶轮流道厚度较薄,适合于高比转速和尺寸大的泵,这种叶轮绘型方法如下:
1)画轴面投影图。
a)确定主要尺寸。
叶轮基本尺寸Dj、D2、b2的计算方法和厚壁型叶轮相同。这种形式叶轮前盖板直径D20通常大于后盖板直径D2h(从D2h/D20=0. 75~Q. 9),也可取D2h=D20
如果前后盖板直径不同,计算的 D2应等于平均直径,即D2=0. 5 (D20; +D2h
b)确定叶轮进、出口边形状。
叶轮出口边应向外凸,为近似半圆曲线。进口边应为稍向内凹的曲线。
2)分中间流线。
与普通离心泵相似,包括前后盖板分3~5条流线,为简单起见也可按小流道宽度相等进行分流线。
3)按方格网保角变换方法画叶片,在轴面流线上分点。
4)在方格网上画流线展开图。
a)叶片进口角按通常离心泵方法确定;
6)叶片出口角通常选18°~25°;
c)叶片包角选取360°左右;
d)进出口边在同一轴面上
J)作轴面截线。
轴面截线应有规律变化,从出口轴面截线开始外凸其弧线向内逐渐减小,到进口轴面截线逐渐过渡成向内凹的曲线,如图11-13所示。
图11一13 薄壁单流道叶轮轴面图和平面图
6)绘制进口部分小叶片。
前面画的为主叶片,在主叶片前的进!J部分带有包角为60°一80°的小叶片。小叶片起始于前盖板内壁,约终止于主叶片进口边中部。为绘制小叶片,方格网上的流线向进
口方向顺延。而后作出小叶片部分轴面截线。轴面截线变化趋势应和主叶片一致。
7)叶片加厚。
通常按给定的厚度变化规律,在轴面上进行加厚,也可以只画工作面木模截线,在制作木模时,以做得的面为基准进行加厚。
8)作一定间距的木模截面。
9)画叶轮轮廓线(叶片和内、外壁的交线)。
10)画叶片剪裁图,平面图中画出了叶片和前盖板的交面及叶片背面木模截线。
11)进行叶片加厚,画工作面剪裁图。
(3)压水室水力设计
①压水室形状
单流道泵通常采用螺旋形仄水室或准螺旋形压水室,压水室断面为矩形或近似半圆形。
②基圆直径D3
D3和D2之间有一定的问隙,以便使大颗粒和长纤维物料能顺利通过。考虑到单汤道泵叶轮内的大颗粒可能错过隔一舌位置进人涡室,囚而实际通过的颗粒要比基圆和叶轮出口间隙尺寸大得多,由此,基圆直径可以根据泵的大小和通过能力酌情确定。
③压水室面积
从隔舌算起的压水室内流速按下式确定
式中的K3值按一般离心泵设计方法确定 压水室内流速确定后,可设计各断而,其作图方法和离心泵相同。

(来源:中国泵阀第一网)
上一篇:大型泵站用水泵的抗磨损设计要点
下一篇:浅析污水潜水泵九大性能特点
