这个例子的分析结果汇总表2.它列出了为各种不同过程提供恒定相对稳定性的阀门流量特性。
表2基于恒定压降和有意义的管线或泵压降的最佳特性
|
应用 |
阀门安装特性 |
阀门固有特性 |
|
|
恒定△Pv |
有意义的管线压降和(或)泵的压降 |
||
|
1、液体或气体流量控制(忽略过程滞后) 1.1、孔板测量
2、流量比率调节 2.1开环回路 2.2闭环回路(孔板或线性测量)
3、平均液位或压力控制 3.1简单的 3.2串级流量控制
4、混合和调合控制 4.1测量第一个出口罐 4.2测量第二个出口罐 |
见上述1.1和1.2
见上述1.1和1.2
|
平方根线性
见上述1.1和1.2等是分比
线性见上述的1.1和1.2
线性等百分比 |
线性—等百分比 等百分比—双曲线
见上述1.1和1.2
等百分比—双曲线 见上述1.1和1.2
等百分比—双曲线
双曲线 |
大多数合乎要求的阀门流量特性在调节过程的操作范围内,将提供恒定相对稳定性。在忽略动态特性的过程中,由恒定开环增益提供恒定相对稳定性。在时间常数之间存在一定关系的调节系统,可能有利于近似的动态特性。然而,在一般的情况下,这种提供相对稳定性的特性必须通过具体调节过程的分析进行计算。考虑图14所示的调节系统,其调节过程的方块图如图13所示。
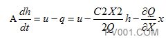
该过程取决于物料平衡:
式中 A—贮罐的截面积,英尺2;
h—在排出管线上面的液痊高度,英尺;
q—调节流量,英尺3/秒;
u—干扰流量,英尺3/秒。
在出口管线上的阀门类似于可变阻力:
让小写字母代表给定变量的小偏差,而大写字母代表相同变量的平均值。方程(16)的线性化得到:
流量系数C出现在方程(17)的增益项中,以便清除在比例调节中随生产量变化的液位头h。把方程(17)代入方程(15)。
图13比较得:
于是:
从图13也可以得到:
和令
这个闭环对于一个小干扰u变化的响应:
式中 KKvKcKpKT=闭环增益
而
方程(18)中的分母是确定稳定性的特征方程。把这个分数整理一下,为:
把这个二阶响应方程写成确定系统稳定性的下面的通式[14]:
比较同类项系数得:
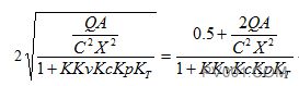
把特性时间代入第二个方程,而且让=1,则恒定稳定性为:
代入前面的Kp值,就解出Kc值,对于恒定系统稳定性所需要的安装流量特性为:
图14 图13方块图表示的液位调节系统
方程(20)在计算机上积分便得到所需要的阀门安装流量特性。增益KKvKT(它必须保持常数以便消除调节器重调)是根据方程(19)、面积A和系数C的给定数值来计算的。代表各种不同贮罐的动态特性的数值都列于下表中。把方程(20)(阀杆行程和生产流量的数值)积分的结果绘制成图15的曲线,这也与表示标准流量特性的图1相类似。注意,如果在固有的和安装的流量特性之间存在很大差异的话,必须采用方程(1)。
表3 贮罐液体系统的参数表
|
参数 |
特性曲线(在图15上) |
||
|
A |
B |
C |
|
|
h A Q p Kp KKvKT |
2英尺 50平方英尺 26.8英尺寸3/秒 7.4秒 0.22 0.9英尺-1 |
20英尺 5平方英尺 39.9英尺3/秒 5秒 1.6 0.06英尺寸-1 |
2英尺 5平方英尺 7.9英尺3/秒 2.5秒 1.0 0.3英尺寸-1 |
图15 根据表3数据把方程(20)积分后的结构绘成此图
图15表明,根据表3列举的三组贮罐液位系统的参数所选择的阀门流量特性仅有很小的差异。因此,所选择的安装流量特性是如此地接近于线性,以致于必须选择线性特性阀门。这种结果符合于文献[10][11]提出的建议
前面简单的例子表明,要定量地选择阀门特性,其计算工作是很复杂的。当比较高阶(例如调节器中的条重定)和考虑许多可能的干扰变量时,就更为复杂。瓦尔斯特尔[10]通过把干扰和过程动态特性分类,以及在这两种理论的基础上,把优先选择的阀门流量特性列表示出,解决这种复杂问题。
很显然,经济上要求绝大多数阀门的流量特性不利用前面的复杂计算方法来选择,而是根据前面所说的非常简单的准则完全可以满意地选择出绝大多数的阀门特性。甚至又提出了一个更为简单的准则[1]:(a)和(b)假定所有阀门都有串联的动压头损失,这会使一个等百分比固有特性转变为线性的安装特性。基于这两点,所有阀门都选择等百分比特性的阀门。应当认为这样一个准则过分简单,而毫无疑问,对于某种应用场合至少也要给于粗略的分析。齐格勒和尼科尔斯[13]通过一系列的例子说明线性特性广泛的适用于一般的应用场合。因此,他们强烈反对普遍使用赋予流量特性的阀门。
最后,洛维特[7]区分了在“理论的”和“实际的”阀门流量特性之间的差别。“理论特性”是用各种数学方程式和图形来描述的,并在前面几页叙述了。实际的固有特性是根据ISA标准SP39.2(正如前面叙述的)通过实际试验来确定的。
图16表示由洛维特[7]用试验方法得出的实际流量特性,并显示出实际特性和理论特性的偏差。根据洛维特报导,这种偏差可能高达40%。这样,最佳特性以精确的数学公式来表示,不仅是太复杂,而且也没有什么价值,除非知道制厂的阀门实际特性。
图16 实际流量特性:(a)线性 (b)等百分比特性
结论
定量地选择阀门流量特性有前面所述的困难,通常遵循下面的导则来选择阀门的流量:
1、 如果(a)调节器比例度预计很小,或者如果(b)所须阀门的可调节范围是2比1或更小时,阀门特性的影响很小。
2、 如果(a)工艺系统的主要压降不是发生在阀门上;(b)阀门压降在小流量时是高的,而在大流量时是低的;或者(c)由于有限的数据,希望阀门尺寸大些。此时,都应彩等百分比流量特性。
3、如果(a)采用了可变压头流量计和(b)工艺系统大部分压降都发生在阀门上时,在流量调节系统中必须使用线性流量特性。

(来源:中国泵阀第一网)
下一篇:关于柱塞泵的分类与类别特性解析
