概述
全扬程泵是指功率曲线有最大值,所选原动机功率超过该值,则泵在全扬程范围内运行时,不会出现过载问题,也称无过载特性。这种特性对低比转速泵,尤其是对低比转速井泵(深井潜水泵和深井泵)具有重要意义。因为低比转速泵通常随流量增加功率一直增加,即在零扬程时,功率最大。而井泵启动过程开始为零扬程,而后扬程随水位增高而增加,也就是该泵在启动或低扬程范围运行时,功率最大。除非选过大容量的电机,否则会有过载烧坏电机的危险,徜若低比转速泵有无过载功率特性,则可减少电机容量,且不会烧毁电机。
无过载轴功率特性和几何参数的关系
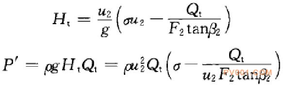
什么低比转速泵随着流量增加功率曲线不断上升呢?设uul=0时,泵的理论扬程和输人水力功率可以写成
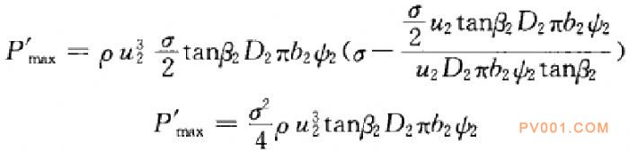
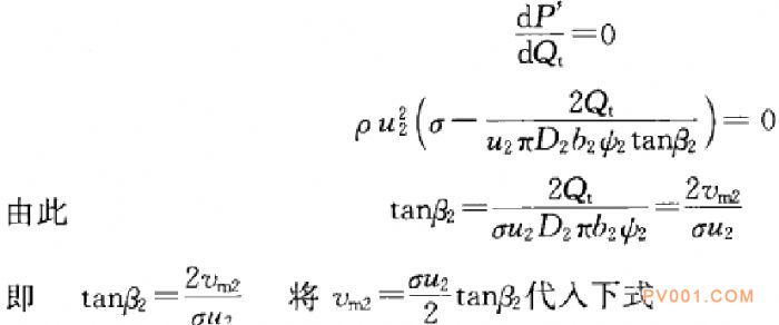
欲实现这种功率特性,叶片角β<90°,通常使用的叶片角也都小于90°。但如果不是角β2很小随着流量增加,泵扬程下降,不足以抵消流量的增加对功率的影响(功率为扬程和流量之积),功率曲线依然是不断上升,到很大流量处才会出现最大值(极值)。只有选择的β2角很小时,随着流量增加,扬程下降对功率的影响比流量增加的影响大,才有可能使功率曲线提前出现极值。现研究当}a为多大时,功率曲线才能出现极值。功率对流量取导数,并令
功率为最大值时的流量为
将
代替式(10——2)中的Qt,则得最大输入水力功率
最大轴功率
Ht=0时的最大流量。由式(10-1)得
与式〔10一3)比较可知,出现最大功率的流量等于零扬程时最大流景之半,即在零流量和最大流量的中间。

(来源:未知)
上一篇:叶轮几何参数对泵特性的影响
