新型轴向力平衡装置
这种泵的新型轴向力平衡装置,可取代传统的平衡装置,能任意程度地平衡轴向力,适用于各种泵,尤其适用于深井潜水泵(潜油泵)和节段式多级泵。采用该装置后,既平衡了轴向力,又基本上无泄漏,因而泵传统平衡装置的泄漏损失可完全回收,节能效果达3%一10%。实用表明,该装置原理无疑,节能效果显著。
(1)新装置的原理和特点
新烈轴向力平衡装置,在节段式多级泵f:的用例如图19-22 (a)所示,在深井潜水泵上的用例如图19-22 (b)所示。它是把一对动、静摩擦副装于末级叶轮之后,动环随叶轮旋转,静环则不旋转。端面摩擦副前面是末级叫一轮出口的高压液体,端面摩擦副之后与大气压或泵进口低压区相通。由此密封端面把高压液体与低压区隔开,作用于末级叶轮前的高压(等于n-1级泵的压力)和作用于末级叶轮后面的低压(如等于大气压)之差构成指向叶轮前方的总平衡力,平衡作用在整个转子上的轴向力。虽然泵的末级压力较高,但采用平衡型端面摩擦副,可以人为地控制端面比压,从而使摩擦功率损失很小和具有长的寿命。即使摩擦副严重磨损,只是泄漏量增加,轴向力仍基本上得到平衡,所以该装置是十分可靠的。摩擦副设计合适,基本上无泄漏,从而消除了传统衡装置较大的泄漏量。另外,由于基本上无泄漏.摩擦副前的液体处于相对静止状态,只要采取不复杂的措施就可以得到理想的防杂质的效果,因而这种装置可以用于抽送含杂质液体的泵。
图19一22 新型平衡装置
深井潜水泵(潜油泵)由于受井径的限制,推力轴承的容量较小,因而轴向力的平衡一直是高扬程深井潜水泵的关键问题。另外,深井潜水泵大都将推力轴承装在泵下方电动机的底部,这样在各级叶轮轴向力的作用下,轴处于受压状态,将加剧轴套、口环等的磨损,这是深井潜水泵寿命远小于深井泵的主要原因。深井潜水泵采用该装置后.除具有上述这些优点之外,使传动轴的受力状态从受压变为受拉,可以提高泵运行的可靠性和寿命。
节段式多级泵采用该装置,可以取消平衡盘,其后的轴封装置可以取消或简化。多级泵的轴向力很大,通常为数千到数万牛顿,自有多级泵以来,大都采用平衡盘等装置来平衡轴向力,许多学者对平衡盘这个多级泵至关重要的部件进行了人量试验研究,但其基本结构没有改变。
新型平衡装置和传统平衡盘装置技术指标的比较列于表19-6
表19-6 新型平衡装置和传统平衡装置技术指标的比较

(2)新型装置的计算
如前所述,本装置靠作用在末级叶轮上的力平衡作用于转子的轴向力。由分析可知,端面摩擦副的外径R1小于叶轮密封环直径Rm。在这种情况下末级叶轮的受力情况如图19——23所示。
图19-23 末级叶轮受力分析
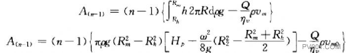
设作用在多级泵末级前所在级(n一1级)的总轴向力为A(n——1 }则欲使转子上作用的轴向力平衡,必须满足
式中A(n-一1)作用在前,n一1级叶轮上的轴向力;
F1—作用在末级叶轮前侧的总压力;
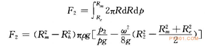
F2—作用在末级叶轮后侧的总压力;
F3一密封端面液体的总压力;
F4—端面比压力产生的总压力。
作用在末级叶轮前n——1级叶轮上的轴向力按下式计算
式中n——泵级数;
p一液体密度;
Hp——叶轮势扬程,
Qr一理论流量;
umo—叶轮进口轴面速度。
作用在末级叶轮进口侧的总压力F1按下式计算
式中p1-一首级叶轮进口压力;
H——单级扬程。
作用在末级叶一轮后侧的F2按下式计算
式中F2—末级叶轮出口压力。

(来源:中国泵阀第一网)
上一篇:不锈钢闸阀的优点和缺点请参考一下
下一篇:水泵径向力及其平衡
