随着科学技术的进步,泵不仅用来输送各种液体,还用来输送各种物料〔包括固体),这种物料的流动称为固液两相流.由于固体物料的加人,使流休和机械的相互作用变得更为复杂。在固液两相流泵领域,还有很多课题值得去研究。
固液两相流泵分为三类:一是抗磨蚀泵,如渣浆泵、脱流泵、输送含泥沙水的泵等,这类泵以抗磨蚀为主要特点;二是无堵塞泵.如一单、双流道泵、旋流泵、螺旋离心泵等,这类泵以尤堵塞为主要特点;三是既耐磨损又要求无堵塞的泵,如输送一般污水的污水泵、纸浆泵等。
1、固液两相流体的物理性质
(1)浆体的密度、浓度、稠度
(2)浆体的水力损失
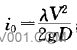
①水平管道阻力计算(费祥俊公式)
式中a一由于浆体中固体颗粒对紊动的抑制作用,使阻力减小,一般取a= 0. 9;
io—清水的水力坡度,
λ一阻力系数,λ=0. 02~0. 03
D一一管径,m;
U一管内平均流速,rn/s;
Sm—浆体相对体积质量,
Ss—固体相对体积质量,
p——摩擦系数,与颖粒性质有关,p=0.37~0. 75 ;
Cv—体积浓度,
ut-一颗粒在清水中的沉降速度,m/s
②向上倾斜管道阻力计算(考虑颗粒对静压的影响)
式中θ——管道与水平方向的倾斜角度。
③垂直管道(上流或下流)阻力计算
(3)泵输送两相流液体的性能换算

(来源:中国泵阀第一网)
下一篇:解析两相流泵的基本方程
