(1)概述
托管泵又称毕旋壳泵种特殊结构形式的低比转速泵,适用于小流量、高扬程;也适用于高速泵。现有产品转速达6800 r/min,扬程达1 900 m.
这种泵主要用于高压喷淋、高压冲洗和高压液体输送等。由于旋壳泵的效率在小流量、高扬程参数范围高于相同比转速的离心泵,因而,在锅炉给水、化工、石油工业等有广泛的应用前景。
图10-15是斯特林公司旋壳泵的结构图,叶轮靠在腔体的前壁和转子腔一起旋转,腔体内设有集流管(排出管),集流管静止不动,集流管的流道从径向转轴向伸出。外泵体固定在轴承架上,主要起保护和支撑的作用。吸入管和排出管固定在外泵体的前盖上,从吸入管吸入的液体从高速旋转的叶轮排出到转子腔口和转子腔一起旋转的液体,从集流管的喷嘴进人,经过扩散段排出。在叶轮进口和外泵盖之间设有旋转密封。
(2)旋壳泵的特点
1}泵结构简一单,运行可靠,维修方便。
2)叶轮和转子腔内的液体一起随着转子腔旋转,故叶轮没有圆盘摩擦损失。
3)轴向力儿乎全部自行平衡,只有叶轮进门的动反力(指向左侧)、叶轮出门的动反力(指向右侧),总的轴向力可忽略不一计。
4}轴承侧没有密封介质进人问题,叶轮进日和吸人管部位的轴封,密封的是吸人压力,比较容易解决。
图10-15 斯特林公司旋壳泵结构图
5)改变叶轮直径,集流管径向长度、集流管喷嘴口的直径、数最都可以改变泵的性能因而,便于产品的系列化
6)流量无脉动,可以在20%---110%的最优工况内运行,运行平稳无振动。
7)因为整个腔体旋转,启动转矩大口
(3)旋壳泵的设计与计算
①旋壳泵的扬程和叶轮外径、出口宽度
旋壳泵的叶轮与一般低比转速离心泵叶轮没有什么差别,只是出口角度大,一般为
β=45°---90°叶片可以是径向叶片,也可以是弯曲叶片或者作成复合叶片。
1)旋壳泵的叶轮外径D2
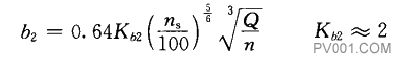
2)叶轮出日宽度b2
叶轮流道一般采用铣槽的方法作成槽形流道的形式以提高效率。
②旋壳泵的流量和喷嘴直径d0
式中φ一流量系数;
d0一一喷嘴直径;
uu圆周分速度,近似等于圆周速度u0
式中u2集流管进rr中心的圆周速度。
③集流管
集流管的喷嘴收集转子腔内高速旋转的液体,通过锥形扩散管动能转化为)i、力能,并从排出管排出。因集流管放置在转子腔的旋转液体中,一定要作成流线形。试验表明,宽度S小者比S大者的效率高(图10-16)}双管结构比单管结构效率高。
图10一16单管形式的集流管
集流管入口应等于或稍高于叶轮出口,液体对着喷嘴进人,转弯部分采用等面积变化,转为径向后进人扩散管,扩散管的锥度为5°一10°,集流管的轴向出口,直径可按一般泵设计确定。 斯特林流体公司的旋壳泵集流管进II直径已标准化,图10-17是系列型号的型谱图。
图10一17斯特林流体公司旋壳泵型谱图

(来源:中国泵阀第一网)
下一篇:了解正确的空气减压阀的调压步骤
