泵运转时的工况点
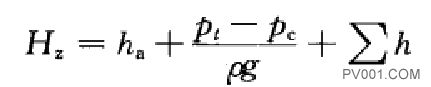
泵特性曲线上的每一点都是一个工况,对应一组参数(H, Q, P, NPSH)。通常都希望泵在对应最高效率点的工况下工作,但是不一定能够满足。这是因为泵运转时在特性曲线上哪一点工作.是由泵特性曲线和装置特性曲线共同决定的。 把单位重量液体从吸水池液面送到排出水池液面需要的能量称为装置扬程,用Hz表示。装置扬程Hz是山几何高度ha(位能)、压力差(p,-- p}(压能)和整个装置管路系统〔泵本身除外)的水力损失∑h三部分组成。
(6-1)
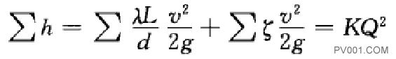
水力损失∑h为沿程损失和局部损失之和
(6-2)
液面到排出液面的几何高度ha又称为实扬程或净扬程口将式(6-2)代入式(6-1),可画出Hz与流量的关系曲线(图6-1),它是一条二次抛物线,称为装置特性曲线或管路阻力曲线。
图6一1泵运转特性
把泵特性曲线和装置特性曲线画在同一张图上,装置特性曲线和泵特性曲线的交点(图6--1) (c)中的M点)就是泵的运转工况点.
在该点单位重量液体通过泵增加的能量(泵扬程H)正好等于把单位重量液体从吸水池液面送到排出水池液面需要的能量(即装置扬程H),故M点是泵稳定的运行点。
如果泵偏离M点在A点工作,这时H﹥Hz,多余的能量促使管内流速增加,泵的流量增加,工况点从A点移向M点;反之,如泵偏离A点在B点工作,这时H﹥Hz管内流速减慢,泵流量减小,从B点移向M点,最后都要回到M点稳定下来。泵的稳定工况点一定是泵特性曲线和装置特性曲线的交点。
在产品样本上给出了泵的特性曲线,当装置确定之后,可以计算并画出装置特性曲线,从而确定出泵实际的运转工况点。
泵站和泵装置效率
(1)泵装置扬程的图解
泵装置扬程的图解如图6一2所示。
图6一2泵装置扬程的图解

(来源:中国泵阀第一网)
上一篇:阀门型号编制方法详细图解
下一篇:轴承的分类和特性
