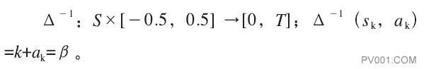
(3)定义3 设(sk,ak)是一个二元定义语,其中sk是评价集S中第k个元素,ak∈[-0.5,0.5],则存在一个逆函数Δ-1,使其转化为相应的值β∈[0,T]。
4)定义4 若(sk,ak)和(si,ai)为任意两个二元语义,则这两个二元语义信息的比较算子定义为:
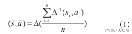
(5)定义5 设{(s1,a1),(s2,a2),…,(sn,an)}是一组个二元语义,则该组二元语义信息的算术平均算子定义:
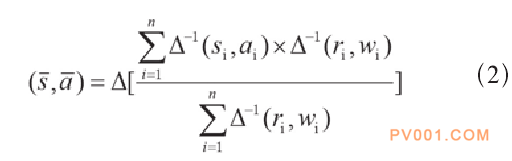
(6)定义6 设{(s1,a1),(s2,a2),…,(sn,an)}是一组个二元语义,其相应的二元语义信息权向量为W={(r1,w1),(r2,w2),…,(rn,wn)},则该组二元语义信息的加权算术平均算子可定义为:

2.二元语义评价法评价步骤
设有m个评价对象组成集合A={Ai|i=1,2,…,m},有n个评价指标组成集合C={Cj|j=1,2,…,n},有z个决策者组成集合E={Ek|k=1,2,…,z},指标的权重集W={Wj|j=1,2,…,n}。设置指标的评语集为S={s6=很好(v6),s5=好(v5),s4=较好(v4),s3=较差(v3),s2=差(v2) ,s2=差(v1)};权重语言评语集为R={r5=很重要(u5),r4=重要(u4),r3=较重要(u3),r2=一般(u2),r1=不重要(u1)};并假设每个决策者的重要性程度相同。若决策者Ek对于评价对象Ai关于评价指标Cj给出的评价信息为xkij,权重信息wkj,则构成评价矩阵Xk=(xkij)m×n,指标权重矩阵W=(wkj)z×n。于是可依据评价矩阵和指标权重矩阵进行二元语义决策。二元语义评价信息法具体步骤如下。
1)利用转换函数θ将决策者给出的评价矩阵Xk=(xkij)m×n,转换成二元语言短语(skt,0),(t=1,2,…,6)。
2)利用转换函数θ将决策者给出的指标权重的评价语转化成二元语言短语(rku,0),(u=1,2,…,5)。
3)将每位决策者二元语义的评价信息集结,构成综合二元语义的评价矩阵Y=(sij,aij)m×n。
4)将每位决策者二元语义的指标权重信息进行集结,得到算术平均二元语义的指标权重R(rj,wj)。
5)使用二元语义加权算术平均算子,计算每个评价对象的综合评价值。
6)根据评价对象的综合评价值,对评价对象进行优劣排序。
四、应用实例
本文以6台不同厂家生产的RVHX(Z45X)软密封闸阀为例子,运用二元语义法对其综合性能进行评价。邀请3位专家对这6台阀8个性能指标以及每个指标的权重进行评分,评分采用模糊语言,性能分为上述6个级别,权重分为上述5个级别,结果见表1、表2。
表1 评价对象的评价指标的语言评价结果
表2 评价指标的权重的语言评价结果
将专家给出评价指标及指标权重的评价结果转化为二元语义形式结果见表3、表4。
表3 评价对象的评价指标的二元语义评价结果

(来源:中国泵阀第一网)
下一篇:核级大口径电动闸阀快速启闭研究
