当不计流阻时,
其中单位长度流容
,单位长度流感
。代入式(2.4),可得
。所以可将式(2.6)变形为:
(2.7)
其中,a为液体中的声速,m/s,ω为脉动周期圆频率,rad/s。不同管路连接方式,通常都对应着特有的传递矩阵,例如:
(1)管路的传递矩阵mp。对于长为l的管路,其传递矩阵为:
(2.8)
(2)容积元件的传递矩阵MR。在容积元件中,压力可以视为常数,即Po=Pi。根据节点定律得
(2.9)
则有:
(2.10)
则传递方程为:
(2.11)
其中,V是容积元件的容积m3。
(3)集中惯量的传递矩阵MC储能器的狭窄通道可以看做集中惯量元件,其传递方程为:
(2.12)

图2.1金属密封耐磨球阀截面图
根据金属密封耐磨球阀结构(如图2.1),利用矩阵法可将阀门的五个部分分别建立传递方程。
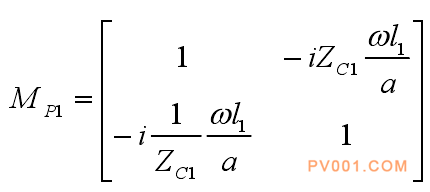
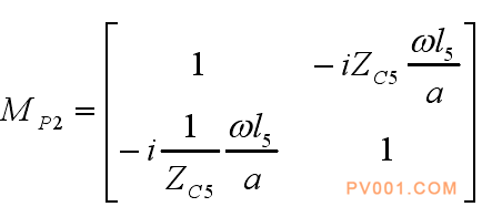
对于第一部分和第五部分,即阀门入口段和阀门出口段,可以等效成管路。根据式(2.8),可建立传递矩阵:

由于il /a非常小,所以式(2.13)可以变形为:
(2.15)
其中,l1是管段Ⅰ的长度;ZC1是管段Ⅰ的特性阻抗,即ZC1=a/gA1,A1为管段Ⅰ的截面积。式(2.14)可以变形为:
(2.16)
其中,l5是管段Ⅴ的长度;ZC5是管段Ⅴ的特性阻抗,即ZC5=a/gA5,A5为管段Ⅴ的截面积。
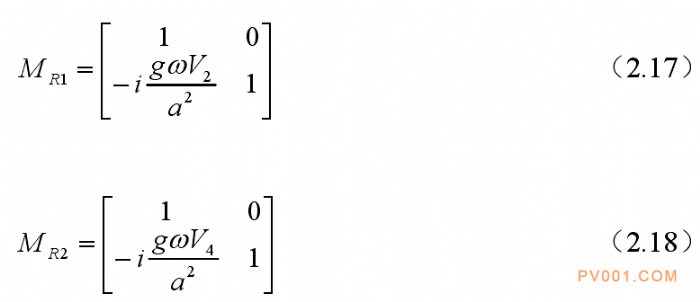
对于第Ⅱ部分和第Ⅳ部分,可以等效成容积元件。根据式(2.11),可以建立传递矩阵:

其中,V2和V4是腔体Ⅱ和腔体Ⅳ的容积。对于第Ⅲ部分,可以等效成集中惯量。根据式(2.12),可以建立传递矩阵:
(2.19)
其中,A3是第Ⅲ部分的截面积。根据以上这些传递方程,可以建立起如图(2.1)中阀门入口和出口的压力、流量传递关系式,即:
(2.20)

(来源:中国泵阀第一网)
下一篇:石油化工中泵的节能运行和维护
